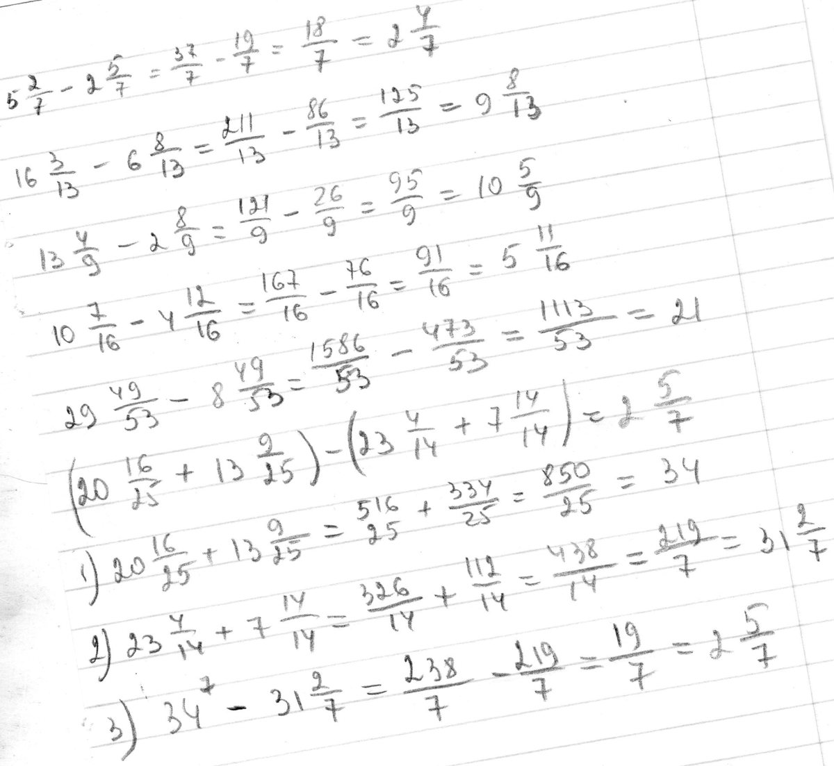
Вычислите:
1) 5. 2/7 - 2. 5/7 =
2) 16. 3/13 - 6. 8/13 =
3) 13. 4/9 - 2. 8/9 =
4) 10. 7/16 - 4. 12/16 =
5) 29. 49/53 - 8. 49/53 =
6) ( 20. 16/25 + 13. 9/25) - (23. 4/14 + 7. 14/14)
Если можно, пожалуйста, с росписью всех выражений!
"/" - дробь.
13. 4/9 - "13" - целое.
Ответы
Ответ дал:
0
смотри решение во вложении
Приложения:

Ответ дал:
0
Ох, спасибо огромное!Спасибо!
Ответ дал:
0
пожалуйста
Вас заинтересует
2 года назад
2 года назад
7 лет назад
7 лет назад
10 лет назад