• Предмет: Алгебра
  • Автор: dimssss1234
  • Вопрос задан 11 лет назад

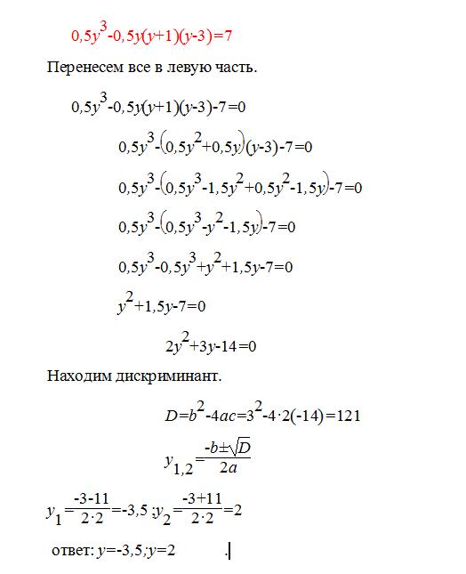
решите уравнение 0,5y^3 -0,5y(y+1)(y-3)=7

Ответы

Ответ дал: Abstergo
0

0,5y^3-(0,5y^2-0,5y)(y+1)=7
0,5y^3-0,5y^3-0,5y^2+0,5y^2+0.5y=7
0.5y=7
y=7/0,5
y=14
Ответ:14

Ответ дал: triolana
0

==============================================

Приложения:
Вас заинтересует