• Предмет: Математика
  • Автор: sasha9999999
  • Вопрос задан 11 лет назад

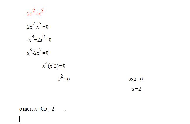
при каких x верно равенство 2x в квадрате = x в кубе                                                                                    

Ответы

Ответ дал: triolana
0

======================================

Приложения:
Вас заинтересует