• Предмет: Математика
  • Автор: Аноним
  • Вопрос задан 10 лет назад

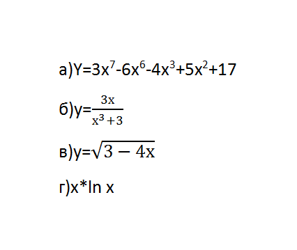
Знайдіть похідну функціі:
а)у=3x7-6x6-4x3+5x2+17
б)у=3х/(х^3+3)
в)у=√(3-4х)
г) х*ln x

Приложения:

Ответы

Ответ дал: kkamerova98
0
честно сказать,не понимаю на Украинском ,,,,,вроде так
Приложения:
Ответ дал: Аноним
0
большое спасибо
Вас заинтересует