Ответы
Ответ дал:
0
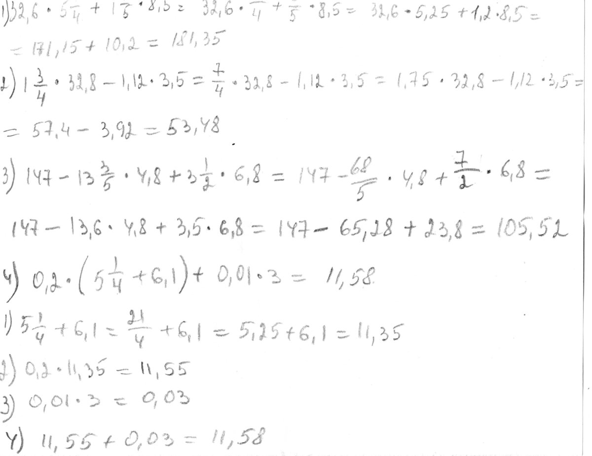
смотри решение во вложении
Приложения:

Ответ дал:
0
:)
Вас заинтересует
2 года назад
2 года назад
7 лет назад
10 лет назад
10 лет назад
10 лет назад