Ответы
Ответ дал:
0
РЕШЕНИЕ СМОТРИ НА ФОТОГРАФИИ
Приложения:

Ответ дал:
0
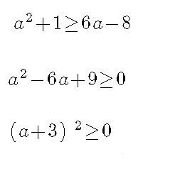
1)Раскрываем скобки
2)Переносим всё в одну сторону
3)Замечаем формулу а^2-2ab+b^2=(a+b)^2
4)Любое число в квадрате больше 0
5)Доказано
2)Переносим всё в одну сторону
3)Замечаем формулу а^2-2ab+b^2=(a+b)^2
4)Любое число в квадрате больше 0
5)Доказано
Приложения:

Вас заинтересует
2 года назад
2 года назад
7 лет назад
7 лет назад
10 лет назад
10 лет назад