• Предмет: Алгебра
  • Автор: vladok4
  • Вопрос задан 10 лет назад

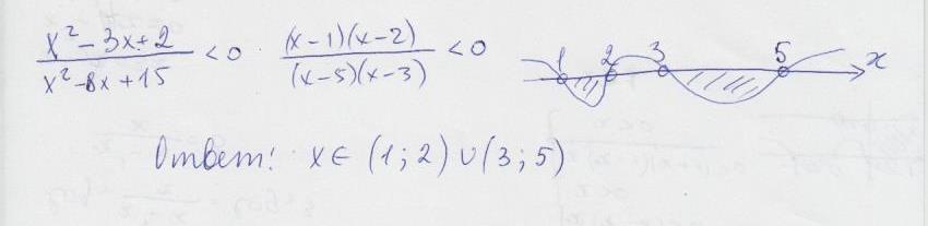
Найдите решение неравенства: (x^2-3x+2)/(x^2-8x+15)<0

Ответы

Ответ дал: belcatya
0
решение в приложении:
Приложения:
Вас заинтересует