• Предмет: Алгебра
  • Автор: justevgeny
  • Вопрос задан 10 лет назад

СОКРАТИТЬ!!!! СРОЧНО ПОЖАЛУЙСТА :)

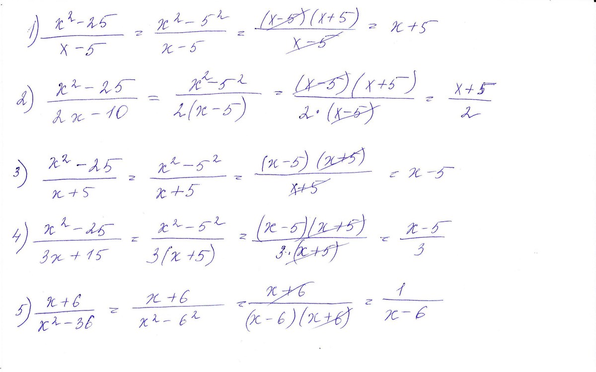
1)  frac{x^2-25}{x-5}
2)  frac{x^2-25}{2x-10}
3)  frac{x^2-25}{x+5}
4)  frac{x^2-25}{3x+15}
5)  frac{x+6}{x^2-36}

Ответы

Ответ дал: Meow14
0
В этом задании я использовала формулу сокращенного умножения- разность квадратов. И потом сокращала.
Приложения:
Вас заинтересует