• Предмет: Алгебра
  • Автор: HuaweiUser
  • Вопрос задан 10 лет назад

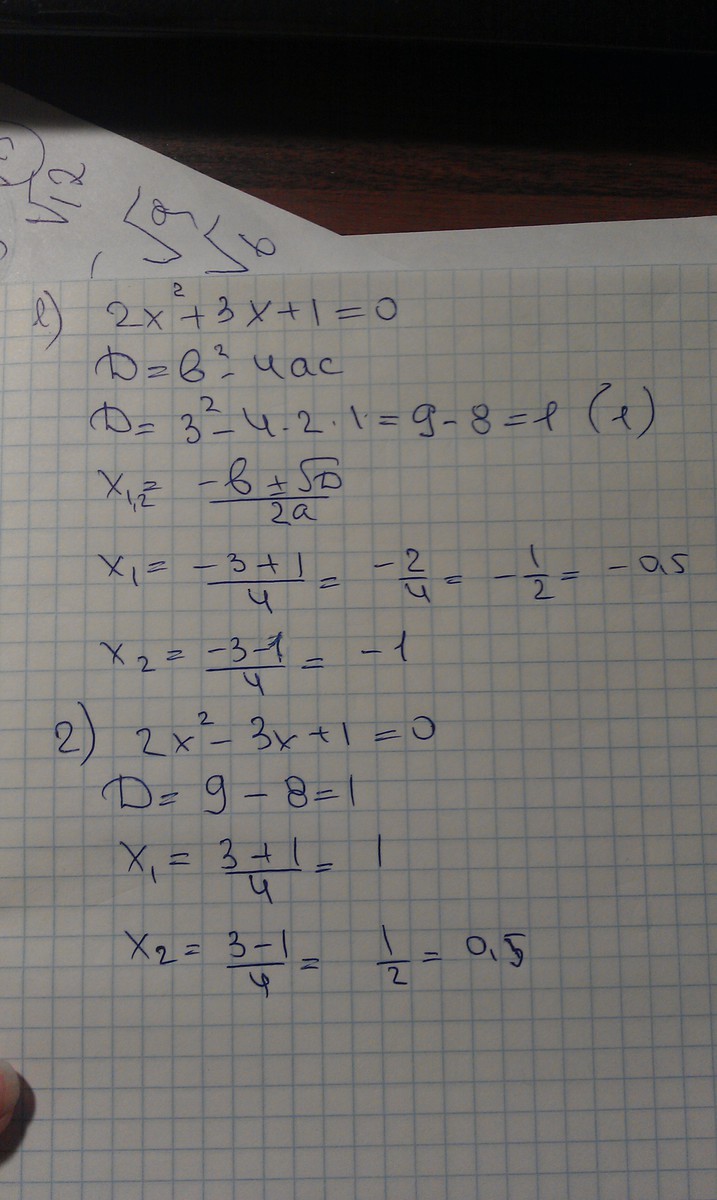
решите квадратное уравнение: 1)2x^+3х+1=0 2)2x^-3x+1=0

Ответы

Ответ дал: Неми
0
Надеюсь, что не ошиблась 
Приложения:
Вас заинтересует