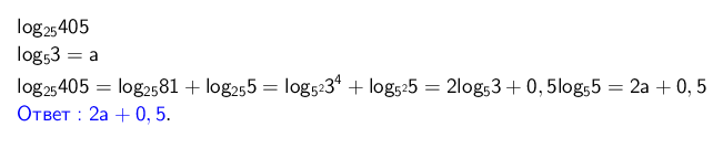
Вычислите log25(405) (логарифм 405 по основанию 25), если log5(3) (логарифм 3 по основанию 5) =а
Ответы
Ответ дал:
0
Смотрите решение в прикреплённом файле.
Приложения:
Вас заинтересует
3 года назад
3 года назад
8 лет назад
8 лет назад
10 лет назад
10 лет назад
11 лет назад