• Предмет: Математика
  • Автор: Norerevi
  • Вопрос задан 10 лет назад

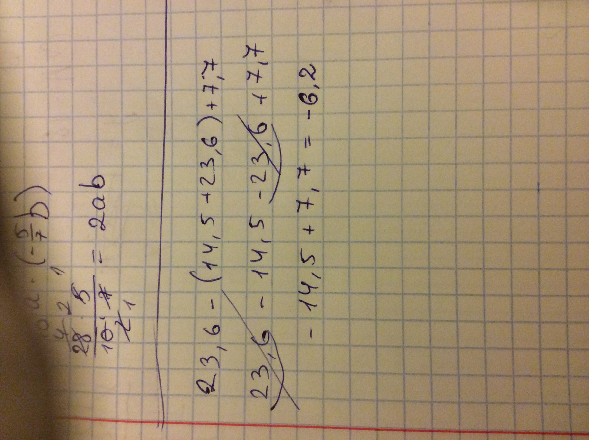
раскройте скобки и найдите значение выражения наиболее рациональным способом:
23,6-(14,5+23,6)+7,7

Ответы

Ответ дал: aananasova28
0
Раскрывает скобки, потом 2 слагаемых сокращаются. А потом складываешь как придется х)
Приложения:
Вас заинтересует