• Предмет: Алгебра
  • Автор: Павнл
  • Вопрос задан 10 лет назад

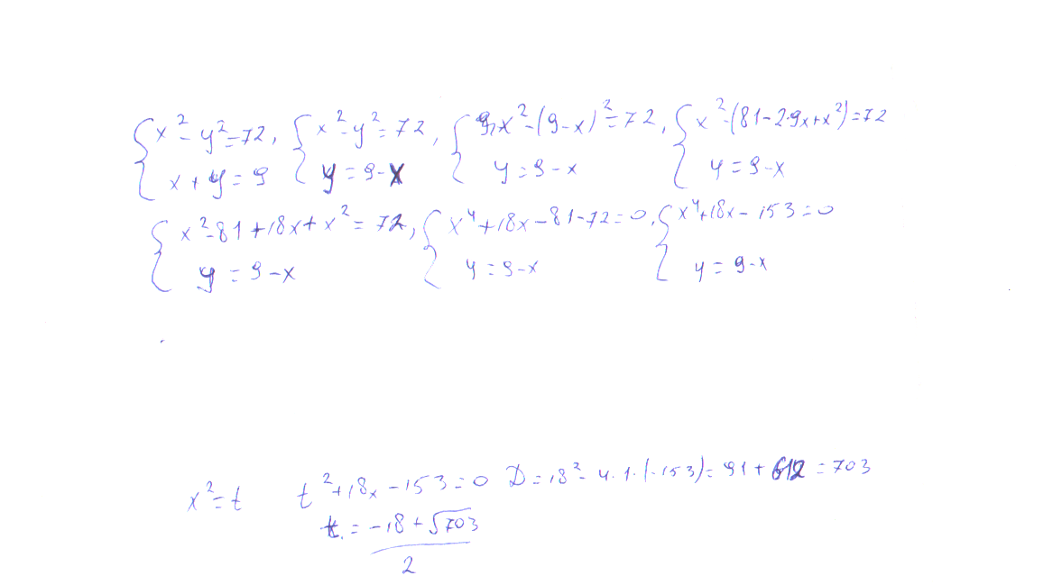
Решить систему уравнений
x^2-y^2=72
x+y=9

Ответы

Ответ дал: Elvino4kaaa
0
Сначала выразила у и подставила,там квадратное уравнение решишь и где положительный будет просто подставишь
Приложения:
Вас заинтересует