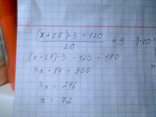
Вася задумал число. Прибавил к нему 28, умножил на 3, отнял 120, разделил на 20 и получил 9.Какое число задумал Вася? С ПОМОЩЬЮ УРАВНЕНИЯ!
Ответы
Ответ дал:
0
72
мы делаем все действия наоборот
мы делаем все действия наоборот
Ответ дал:
0
Лови,был рад помочь.
Приложения:
Вас заинтересует
3 года назад
8 лет назад
8 лет назад
10 лет назад
10 лет назад
11 лет назад