• Предмет: Алгебра
  • Автор: SilentscreamSs
  • Вопрос задан 10 лет назад

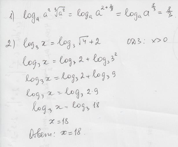
1)log a (a² ³√a²)
2)найдите x

Приложения:

Ответы

Ответ дал: belcatya
0
решение в приложении:
Приложения:
Вас заинтересует