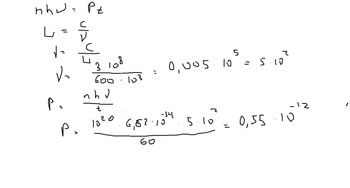
длина волны лазерного излучения равна 600 км. Какова мощность излучения лазаря ,если он излучает 10^20 фотонов в минуту
Ответы
Ответ дал:
0
/////////////////////////
Приложения:
Вас заинтересует
3 года назад
3 года назад
8 лет назад
8 лет назад
10 лет назад
10 лет назад
11 лет назад
11 лет назад