Ответы
Ответ дал:
0
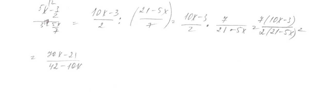
5х-3/2 = (10х-3)/2 = (10х-3)*7 = 7(10х-3)
3-5х/7 (21-5х)/7 2(21-5х) 2(21-5х)
3-5х/7 (21-5х)/7 2(21-5х) 2(21-5х)
Ответ дал:
0
Лови решение в приложении
Приложения:

Вас заинтересует
2 года назад
2 года назад
7 лет назад
7 лет назад
10 лет назад
10 лет назад
10 лет назад