• Предмет: Математика
  • Автор: ksenmartyshchen
  • Вопрос задан 10 лет назад

Поможете решить задачу?

Приложения:

Ответы

Ответ дал: Jeltaia
0
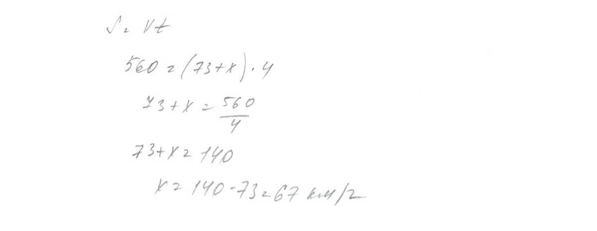
Лови решение в приложении)
Приложения:
Вас заинтересует