• Предмет: Алгебра
  • Автор: Ankaaa
  • Вопрос задан 11 лет назад

помогите решить пожалуйста, хотя бы один из пунктов б) или в), а если не сложно можно и два б) и в)

Приложения:

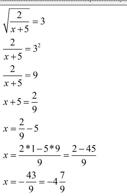
Ответы

Ответ дал: triolana
0

==============================================

Приложения:
Вас заинтересует