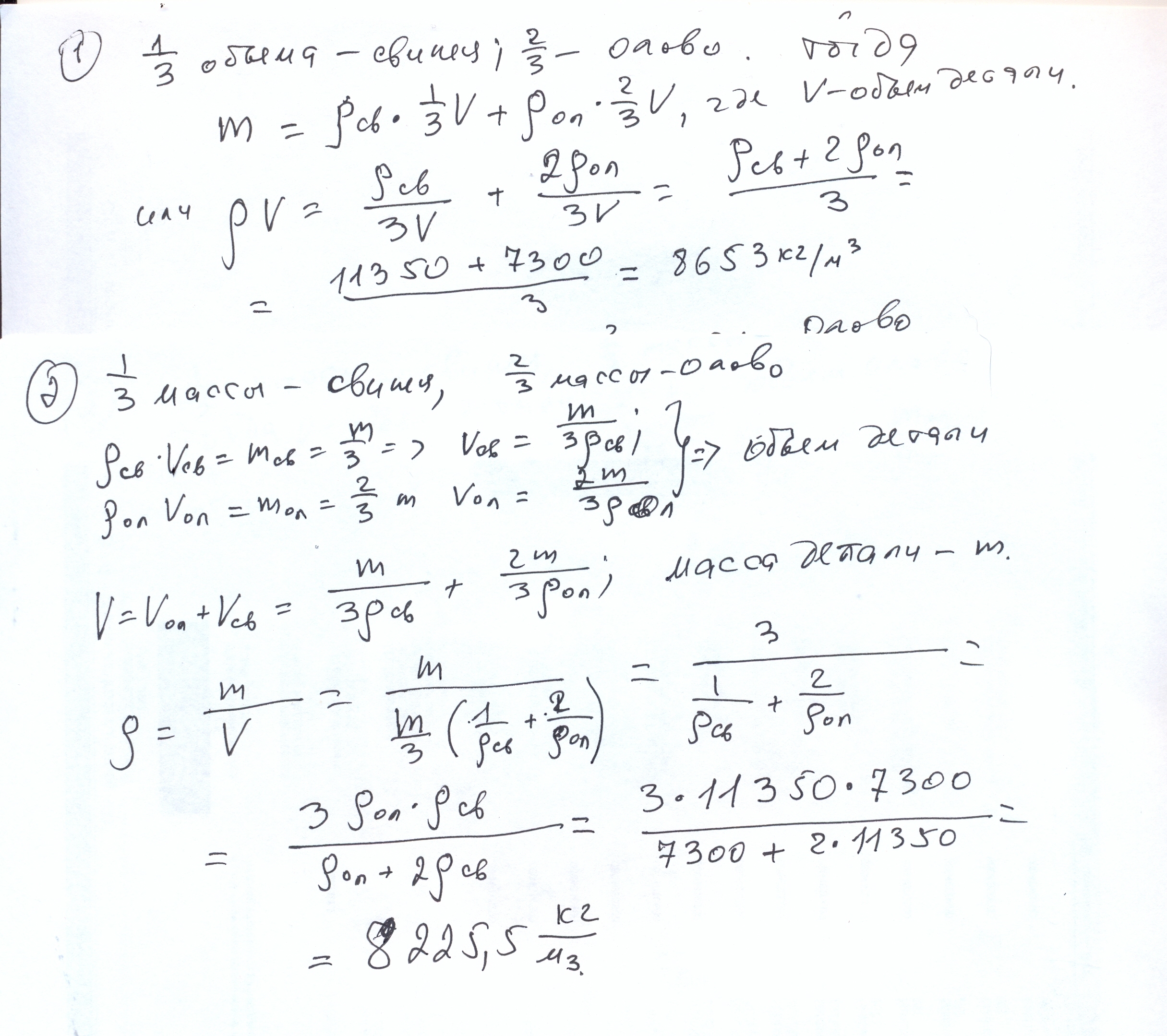
Некая деталь на 1/3 сделана из свинца,на 2/3-из олова.Какова средняя плотность материала,из которого сделана деталь?
Ответы
Ответ дал:
0
Задачка не так проста, как кажется. Здесь возможны два варианта
1. Сделана на 1/3 массы из свинца и тд
2. Сделана на 1/3 объема из свинца
Второй вариант мне кажется более разумным. Оба решения ниже
Приложения:
Вас заинтересует
3 года назад
3 года назад
8 лет назад
8 лет назад
11 лет назад
11 лет назад
11 лет назад