зная первый два члена арифметической прогрессии 2,8; -0,4; ...,найдите следующие за ним четыре ее члена.
Ответы
Ответ дал:
0
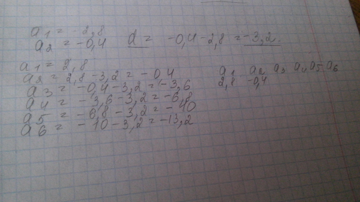
d = -0.4 - 2.8 = -3.2
a1 = 2.8
a2 = -0.4
a3 = -0.4 - 3.2 = - 3.6
a4 = -3.6 - 3.2 = -6.8
a1 = 2.8
a2 = -0.4
a3 = -0.4 - 3.2 = - 3.6
a4 = -3.6 - 3.2 = -6.8
Ответ дал:
0
Вот мое решение
Должно быть так
Должно быть так
Приложения:
Вас заинтересует
3 года назад
8 лет назад
8 лет назад
10 лет назад