Ответы
Ответ дал:
0
Тоже фотография,смотрите,где лучше.
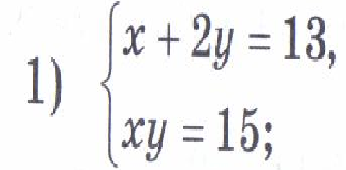
В общем счёте - система уравнений второй степени.
В общем счёте - система уравнений второй степени.
Приложения:
Вас заинтересует
3 года назад
3 года назад
8 лет назад
8 лет назад
10 лет назад
10 лет назад
11 лет назад