Ответы
Ответ дал:
0
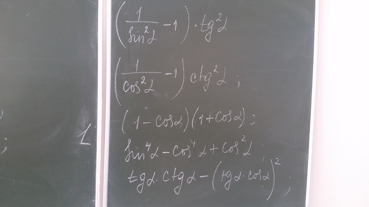
1) Представим 1 как Sin²α/Sin²α/ тогда
(1/Sin²α-Sin²α/Sin²α)*tg²α=(Cos²α/Sin²α)*tg²α=Ctg²α*tg²α=1
2)Аналогично, как в задании 1
( (1-Cos²α)/Cos²α)*Ctg²α=(Sin²α/Cos²α)*Ctg²α=1
3)1-Cos²α=sin²α
4)(Sin²α)²-(Cos²α)²+Cos²α=(Sin²α-Cos²α)(Sin²α+Cos²α)+Cos²α=Sin²α-Cos²α+Cos²α=Sin²α
5)tgα*Ctgα-((Sinα/Cosα)*Cosα)²=1-Sin²α=Cos²α
(1/Sin²α-Sin²α/Sin²α)*tg²α=(Cos²α/Sin²α)*tg²α=Ctg²α*tg²α=1
2)Аналогично, как в задании 1
( (1-Cos²α)/Cos²α)*Ctg²α=(Sin²α/Cos²α)*Ctg²α=1
3)1-Cos²α=sin²α
4)(Sin²α)²-(Cos²α)²+Cos²α=(Sin²α-Cos²α)(Sin²α+Cos²α)+Cos²α=Sin²α-Cos²α+Cos²α=Sin²α
5)tgα*Ctgα-((Sinα/Cosα)*Cosα)²=1-Sin²α=Cos²α
Вас заинтересует
3 года назад
8 лет назад
10 лет назад
10 лет назад
11 лет назад