Ответы
Ответ дал:
0
3
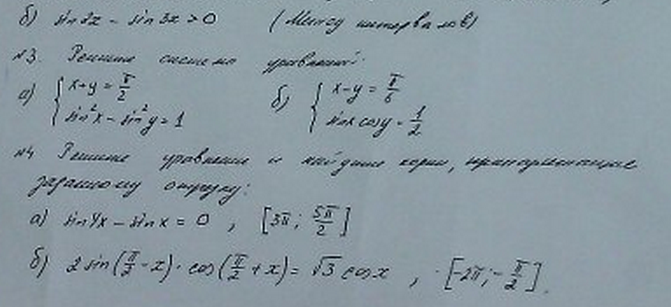
a)x+y=π/2⇒x=π/2-y
sin²x-sin²y=1⇒sin²(π/2-y)-sin²y=1⇒cos²y-sin²y=1⇒cos2y=1⇒2y=0⇒y=0
x=π/2-0=π/2
b)x-y=π/6⇒x=y+π/6
sinx*cosy=1/2⇒sin(y+π/6)*siny=1/2⇒1/2(sinπ/6+sin(2y+π/6))=
=1/2⇒1/2+sin(2y+π/6)=1⇒sin(2y+π/6)=1/2⇒2y+π/6=π/6⇒2y=0⇒y=0
x=0+π/6=π/6
4
a)sin4x-sinx=0
2sin(3x/2)cos(5x/2)=0
sin(3x/2)=0⇒3x/2=πn⇒x=2πn/3 ⇒x=8π/3∈[3π;5π/2]
cos(5x/2)=0⇒5x/2=π/2+πn⇒x=π/5+2πn/5 ⇒x=11π/5∈[3π;5π/2]
b)2sin(π/2-x)*cos(π/2+x)=√3cosx
2cosx*(-sinx)=√3cosx
√3cosx+2cosxsinx=0
cosx(√3+2sinx)=0
cosx=0⇒x=π/2+πn ⇒x={-3π/2;-π/2}∈[-2π;-π/2]
sinx=-√3/2⇒x=(-1)^n+1*π/3+πn x =-2π/3∈[-2π;-π/2]
a)x+y=π/2⇒x=π/2-y
sin²x-sin²y=1⇒sin²(π/2-y)-sin²y=1⇒cos²y-sin²y=1⇒cos2y=1⇒2y=0⇒y=0
x=π/2-0=π/2
b)x-y=π/6⇒x=y+π/6
sinx*cosy=1/2⇒sin(y+π/6)*siny=1/2⇒1/2(sinπ/6+sin(2y+π/6))=
=1/2⇒1/2+sin(2y+π/6)=1⇒sin(2y+π/6)=1/2⇒2y+π/6=π/6⇒2y=0⇒y=0
x=0+π/6=π/6
4
a)sin4x-sinx=0
2sin(3x/2)cos(5x/2)=0
sin(3x/2)=0⇒3x/2=πn⇒x=2πn/3 ⇒x=8π/3∈[3π;5π/2]
cos(5x/2)=0⇒5x/2=π/2+πn⇒x=π/5+2πn/5 ⇒x=11π/5∈[3π;5π/2]
b)2sin(π/2-x)*cos(π/2+x)=√3cosx
2cosx*(-sinx)=√3cosx
√3cosx+2cosxsinx=0
cosx(√3+2sinx)=0
cosx=0⇒x=π/2+πn ⇒x={-3π/2;-π/2}∈[-2π;-π/2]
sinx=-√3/2⇒x=(-1)^n+1*π/3+πn x =-2π/3∈[-2π;-π/2]
Вас заинтересует
3 года назад
8 лет назад
8 лет назад
10 лет назад
11 лет назад