• Предмет: Математика
  • Автор: Маничева
  • Вопрос задан 10 лет назад

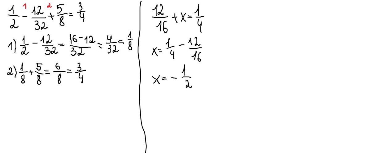
Помогите пожалуйста 1/2-12/32+5/8,
12/16 +X = 1/4

Ответы

Ответ дал: Pelageya
0
Решения и ответы прикреплены.
Приложения:
Вас заинтересует