• Предмет: Алгебра
  • Автор: Анька565
  • Вопрос задан 10 лет назад

Помогите, пожалуйста

Приложения:

Ответы

Ответ дал: Аноним
0
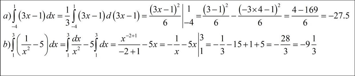
решение смотри во вложении............................
Приложения:
Вас заинтересует