Ответы
Ответ дал:
0
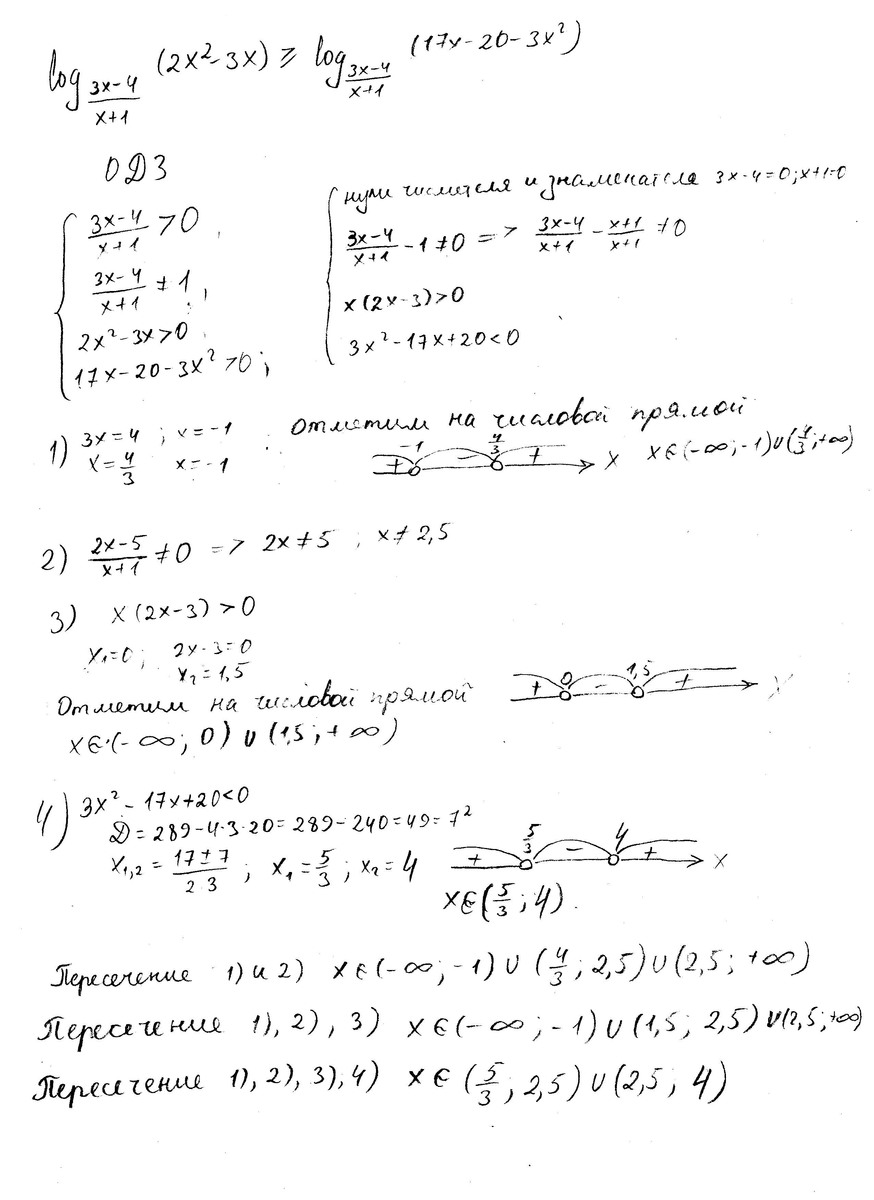
Решение во вложении. Должно быть понятно. Ответ совпадает с предыдущим.
Приложения:


Ответ дал:
0
Спасибо! Очень качественный ответ.
Вас заинтересует
2 года назад
2 года назад
7 лет назад
10 лет назад
10 лет назад
10 лет назад