Помогите срочно, решить пожалуйста
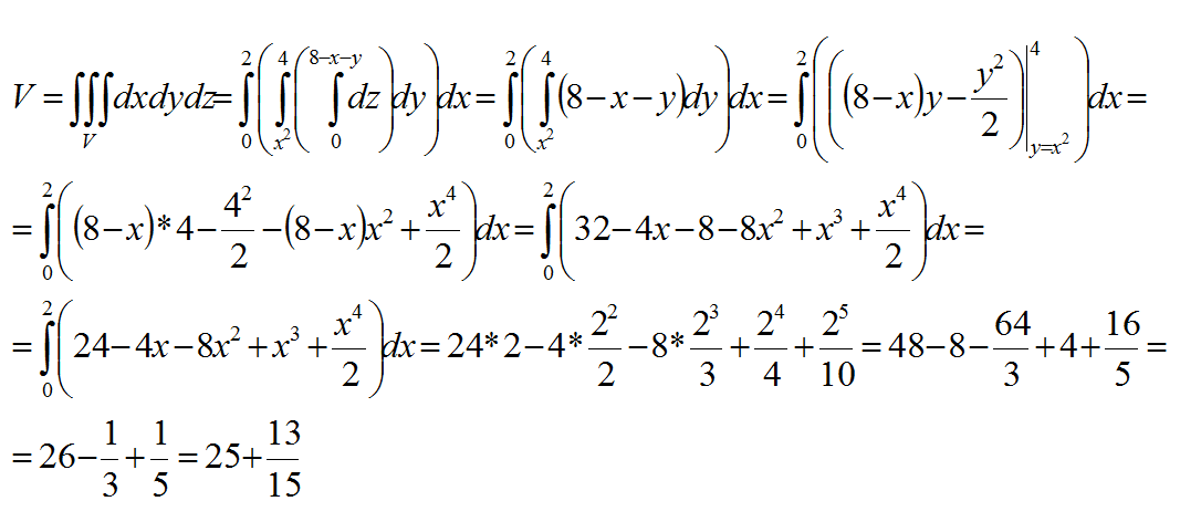
Объем цилиндрического тела, ограничен поверхностями 
Обязательно нужен чертеж....
Ответы
Ответ дал:
0
чертеж фаил 1
решение др фаил
решение др фаил
Приложения:


Ответ дал:
0
спасибо iuv
Вас заинтересует
2 года назад
2 года назад
7 лет назад
7 лет назад
10 лет назад
10 лет назад
10 лет назад