• Предмет: Алгебра
  • Автор: maksimus122001
  • Вопрос задан 10 лет назад

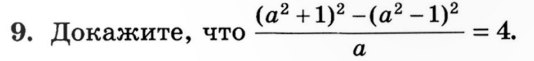
Докажите, что ((a^2+1)^2-(a^2-1)^2)//a = 4.

В виде дроби на фото

Приложения:

Ответа на этот вопрос пока нет. Попробуйте найти его через форму поиска.

Вас заинтересует