• Предмет: Алгебра
  • Автор: veleri245
  • Вопрос задан 10 лет назад

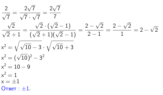
помогите в первом задании освободить знак копеечки в знаменатиле дроби а во втором решить уровнение упростив его часть

Приложения:

Ответы

Ответ дал: SkyBy
0
Смотрите решение в прикреплённом файле.
Приложения:
Вас заинтересует