Ответы
Ответ дал:
0
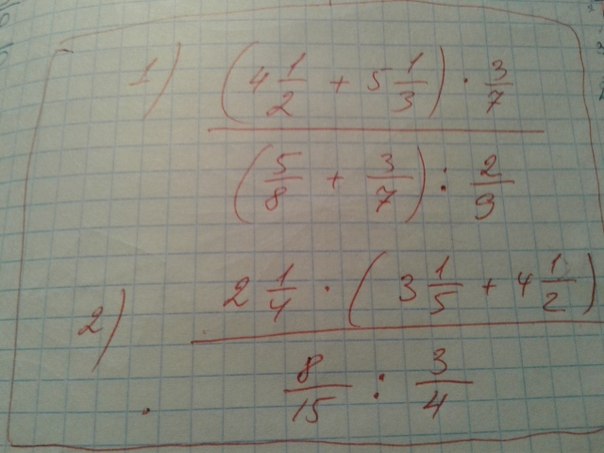
1) решение в числителе

решение в знаменателе

Числитель делим на знаменатель

Ответ:
2) решение в числителе

решение в знаменателе

Числитель делим на знаменатель

Ответ :
Лично меня ответ во 2-м примере пугает, по идее должно все сокращаться и получится нормальная дробь. Пересчитывал несколько раз, но ответ все равно выходил такой.
Возможно вместо этого "
", должно быть это "
". И тогда
решение в знаменателе
Числитель делим на знаменатель
Ответ:
2) решение в числителе
решение в знаменателе
Числитель делим на знаменатель
Ответ :
Лично меня ответ во 2-м примере пугает, по идее должно все сокращаться и получится нормальная дробь. Пересчитывал несколько раз, но ответ все равно выходил такой.
Возможно вместо этого "
Вас заинтересует
3 года назад
3 года назад
8 лет назад
8 лет назад
10 лет назад
10 лет назад
11 лет назад