• Предмет: Физика
  • Автор: jurik199702281
  • Вопрос задан 10 лет назад

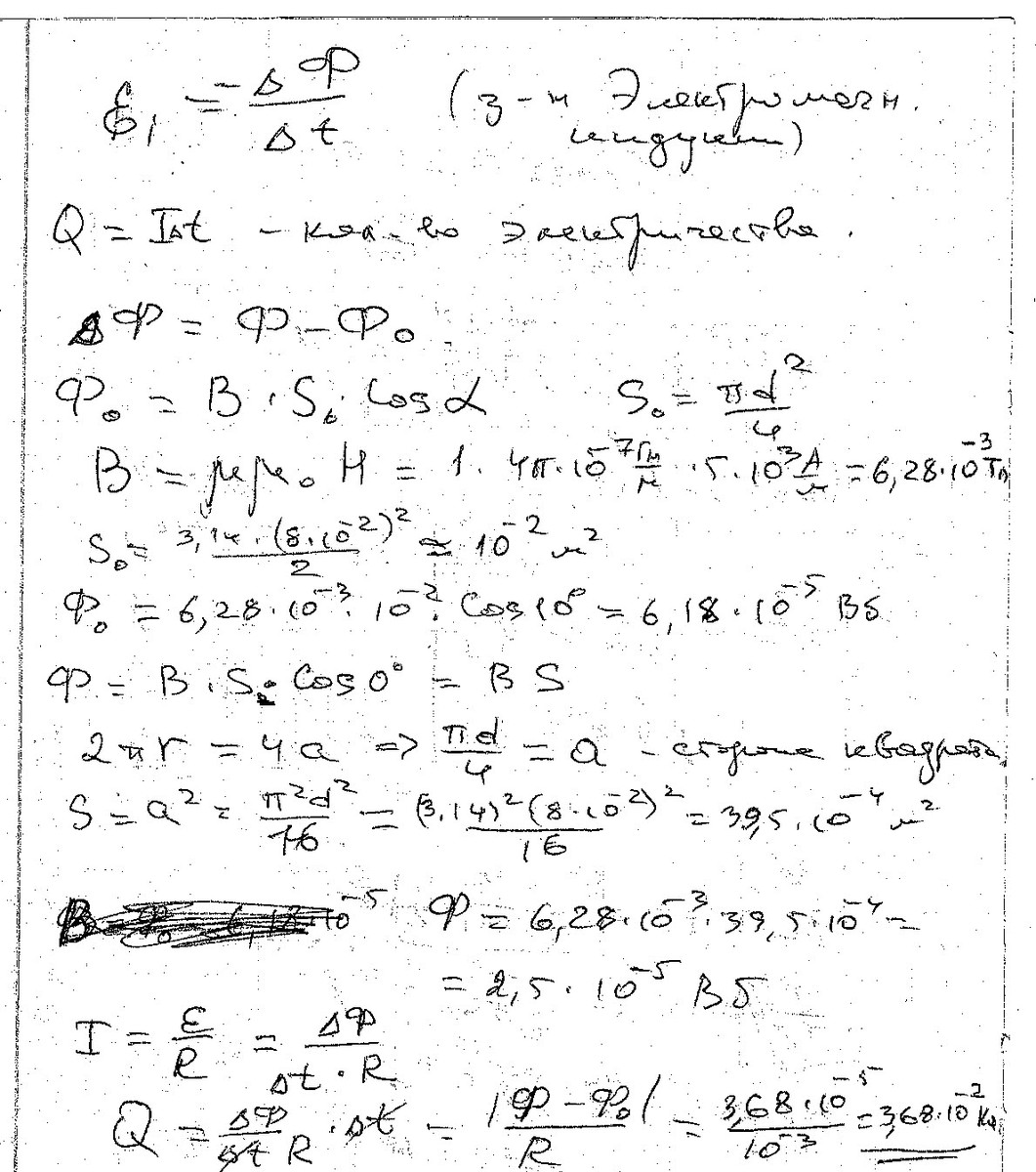
прошу ответа : Круглую рамку диаметром 8 см, нормаль к которой расположена под углом 10° к направлению вектора индукции поля, деформировали так, что она стала квадратной. Затем ее повернули так, что нормаль стала вдоль вектора индукции поля, напряженность которого 5 кА/м. Какое количество электричества индуцировалось в рамке, если ее сопротивление 0,001 Ом?

Ответы

Ответ дал: igmih64
0
смотри файлик......................
Приложения:
Ответ дал: jurik199702281
0
скажите пожалуйста это правильное решение если нет то скажите прямо я не буду отметить как нарушение
Вас заинтересует