• Предмет: Математика
  • Автор: MOM1232003
  • Вопрос задан 10 лет назад

решите неравенства плизз очень надо

Приложения:

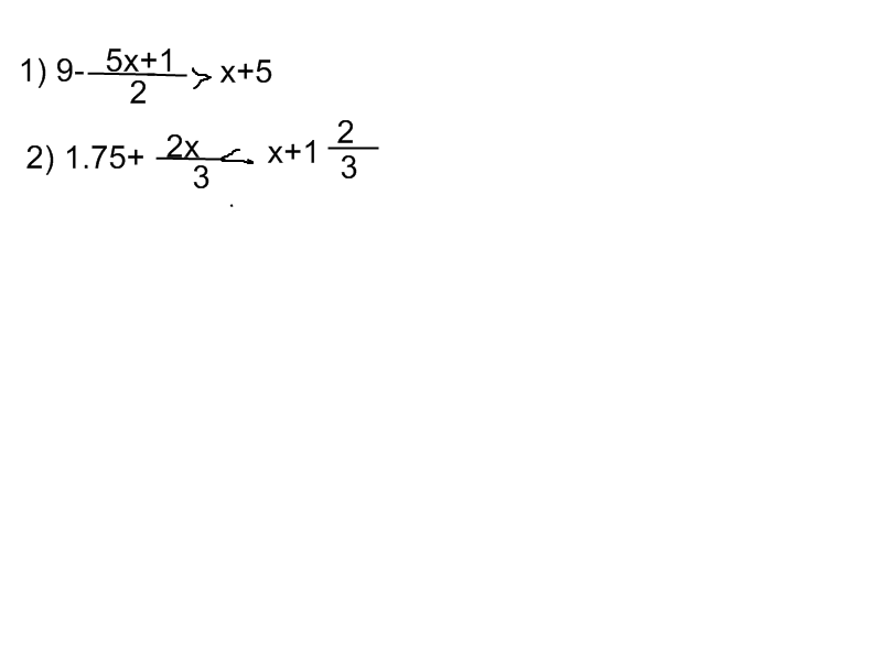
Ответы

Ответ дал: lolo4884
0
1)Это уже решение=18-5х+1>2Х+10   -5х -2х>10- 18 -1     -7х>-9   x<-9/7         Х<1 1|7           2)  =5,25 +2х<3х=15   (это так получилось,потому,что мы привели к общему знаменателю)2х-3х<15-5,25    -х<9,75   х>-9,75
Вас заинтересует