• Предмет: Математика
  • Автор: KatenaLipnitsk
  • Вопрос задан 3 года назад

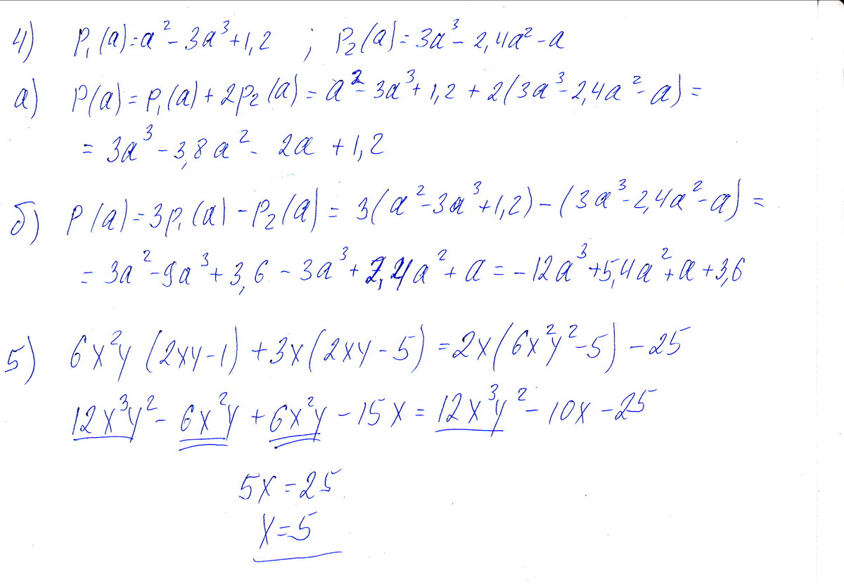
Ребят задание на фото))))))))))Обязательно 4 номер но если можно то и 5)))))

Приложения:

KatenaLipnitsk: 4 номер побольше объяснений)))))))

Ответы

Ответ дал: vovar3573
1
Пояснения особо и не нужны. Главное уметь раскрывать скобочки и приводить подобные слагаемые.
Приложения:

KatenaLipnitsk: Спасибо)))А ты можешь подробно описать как получился ответ как ты их упростил))))пожалуйста))
vovar3573: Уж, простите, сударыня!) Не особо понятно, куда еще подробней. Если есть вопрос по какому-либо конкретному моменту, задавайте.
KatenaLipnitsk: Ладно и на этом спасибо)Просто репетитор более некому объяснить(((
Вас заинтересует