• Предмет: Математика
  • Автор: 2105200401
  • Вопрос задан 3 года назад

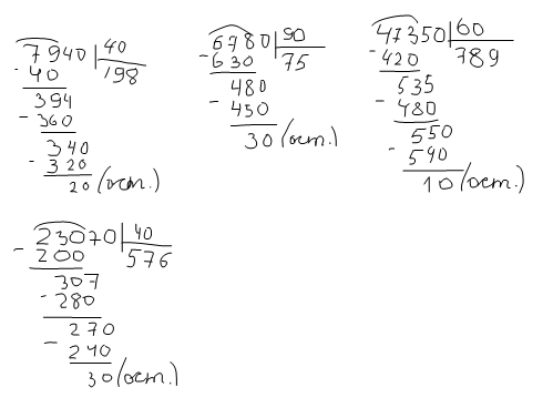
Выполни деление с остатком.

7940:40

6780:90

47.350:60

23.070:40

Столбиком.пожалуйста решите столбиком

Ответы

Ответ дал: Shevtsovasa
46
Смотри прикрепленный рисунок
Приложения:
Вас заинтересует