• Предмет: Математика
  • Автор: Wolfram0720
  • Вопрос задан 3 года назад

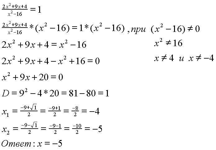
(2x(квадрат) +9x +4) : (x(квадрат) - 16) = 1

Ответы

Ответ дал: tamarabernukho
1
решение смотри в приложении
Приложения:
Ответ дал: pocchtaa
2
................................................................
Приложения:
Вас заинтересует