• Предмет: Математика
  • Автор: Partizan155
  • Вопрос задан 3 года назад

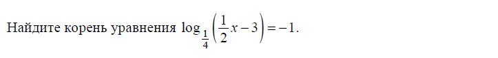
Решите пожалуйста срочно

Приложения:

Ответы

Ответ дал: kirichekov
0
(1/2)х-3=(1/4)⁻¹
(1/2)х-3=4, х=14
ОДЗ: (1/2)х-3>0, x>6/ 6∈(14;∞)
ответ: х=14
Вас заинтересует