• Предмет: Математика
  • Автор: Аноним
  • Вопрос задан 3 года назад

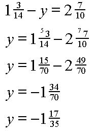
помагите решить уравнение..............одна целая три четырнадцатых -y=две целых семь десятых -(помагите)

Ответы

Ответ дал: hrjgv
1
1целая 3\14 - у= 2 целых 7\10 у=2целых 7\10-1целая3\14 у=1целая38\140=1целая19\70

Аноним: спс
Ответ дал: pocchtaa
0
..............................
Приложения:
Вас заинтересует