Ответы
Ответ дал:
5
Лови решение в приложении)
Приложения:

Ответ дал:
15
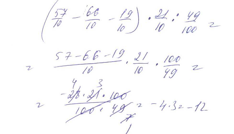
1)В скобках 5.7-6.6-1.9=-2.8
2)Умножение -2.8*2.1= -5.88
3)Деление -5.88: 0.49=-12
2)Умножение -2.8*2.1= -5.88
3)Деление -5.88: 0.49=-12
Вас заинтересует
2 года назад
2 года назад
2 года назад
2 года назад
7 лет назад
7 лет назад
9 лет назад
9 лет назад