Ребят опять нужна помощь, для оценки , помогите пожааалуйста, очень, очень надо к завтрашнему дню, заранее огромное спасибо!!!=)
Приложения:

Ответы
Ответ дал:
0
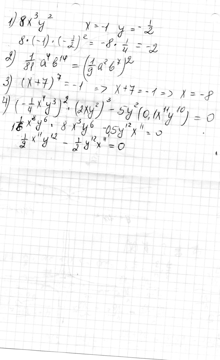
надеюсь понятно будет...
(будет утро завтрашнего дня)
Приложения:

Ответ дал:
0
решение в файле )))))))))))))))))
Приложения:

Вас заинтересует
2 года назад
2 года назад
8 лет назад
10 лет назад
10 лет назад