Из пункта А в пункт В вышел пешеход. Вслед за ним через 2 часа из пункта А выехал велосипедист,а еще через 30 минут-мотоциклист. Пешеход, велосипедист и мотоциклист двигались равномерно и без остановок. Через некоторое время после выезда мотоциклиста оказалось, что к этому моменту все трое преодолели одинаковую часть пути от А до В. На сколько минут раньше пешехода в пункт В прибыл велосипедист, если пешеход прибыл в пункт В на 1 час позже мотоциклиста?
Ответ 48 но как его получить
Ответы
Ответ дал:
3
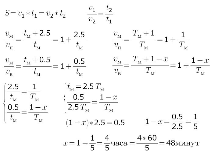
решение есть, но как его объяснить)))
искала более понятное объяснение -- не нашла...
уж как получилось)))
здесь все зависит от отношения скоростей.
понятно, что мотоциклист доехал быстрее, чем велосипедист, т.к. у него скорость больше... и про пешехода можно сказать то же...
отношение скоростей обратно пропорционально затраченному времени
(чем больше скорость, тем меньше нужно времени на путь и наоборот)))
сначала записала отношение скоростей в начале пути от пункта А
вторые равенства -- отношение скоростей в конце пути
как-то так)))
искала более понятное объяснение -- не нашла...
уж как получилось)))
здесь все зависит от отношения скоростей.
понятно, что мотоциклист доехал быстрее, чем велосипедист, т.к. у него скорость больше... и про пешехода можно сказать то же...
отношение скоростей обратно пропорционально затраченному времени
(чем больше скорость, тем меньше нужно времени на путь и наоборот)))
сначала записала отношение скоростей в начале пути от пункта А
вторые равенства -- отношение скоростей в конце пути
как-то так)))
Приложения:
Аноним:
спасибо огромнейшее
на здоровье!!
Вас заинтересует
2 года назад
2 года назад
2 года назад
2 года назад
7 лет назад
7 лет назад
9 лет назад