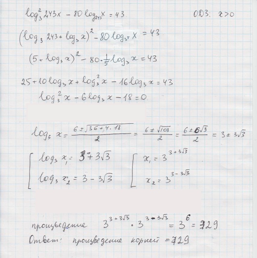
log^2 (243x) по основанию 3 - 80logx по основанию 243 =43 ( если уравгение имеет более одного корня, в ответ укажите произведение всех корней уравнения)
Ответы
Ответ дал:
2
решение в приложении:
Приложения:

Вас заинтересует
2 года назад
2 года назад
7 лет назад
7 лет назад