Помогите пожалуйста
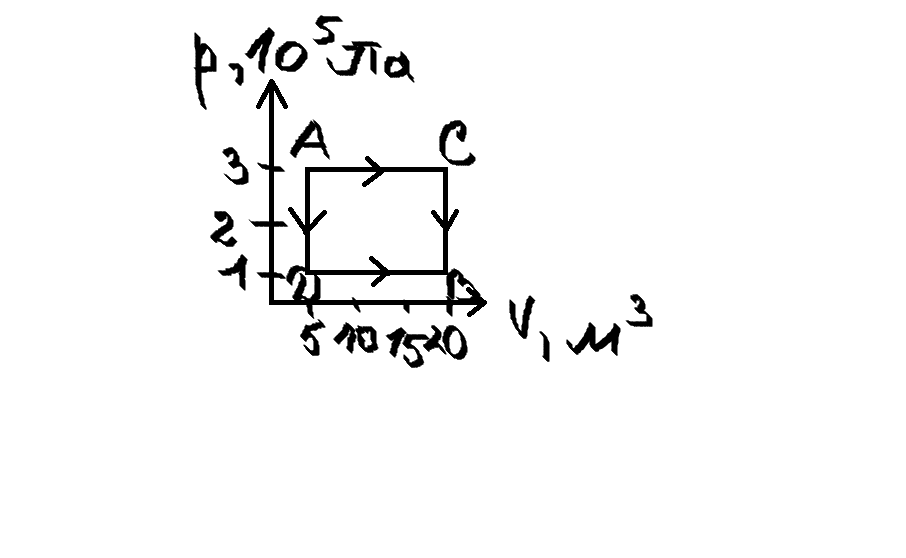
Даны 2 периода : ACB и ADB
В каком из этих случаев совершается большая работа,почему и во сколько раз?
p-давление
V-объем
Приложения:
Ответы
Ответ дал:
1
при изохорных процессах работы не совершаются
A(ACB)= P*ΔV=3*10^5*15=45*10^5 Дж
А(ADB)=1*10^5*15=15*10^5 Дж
А(АСB)/A(ADB)=45*10^5/15*10^15=3
A(ACB)= P*ΔV=3*10^5*15=45*10^5 Дж
А(ADB)=1*10^5*15=15*10^5 Дж
А(АСB)/A(ADB)=45*10^5/15*10^15=3
Вас заинтересует
2 года назад
2 года назад
2 года назад
2 года назад
7 лет назад
9 лет назад