• Предмет: Алгебра
  • Автор: ospanova981
  • Вопрос задан 2 года назад

Pomogite
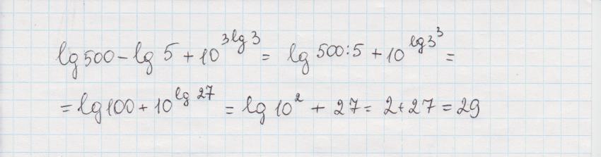
Lg500-lg5+1000^lg3

Ответы

Ответ дал: belcatya
3
решение в приложении:

Приложения:

ospanova981: спасибо)
Вас заинтересует