• Предмет: Алгебра
  • Автор: неудачницаа
  • Вопрос задан 2 года назад

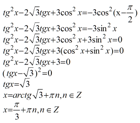
tg^{2}x - 2 \sqrt{3}  tgx + 3cos^{2}x = - 3cos^{2}(x-  \frac{pi}{2} )
помогите, пожалуйста :)

Ответы

Ответ дал: Аноним
0
Смотрите во вложении.....
Приложения:
Вас заинтересует