• Предмет: Алгебра
  • Автор: Vohjk
  • Вопрос задан 2 года назад

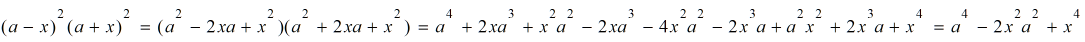
Выполните действие:
(a-x)^2(x+a)^2

Ответы

Ответ дал: Аноним
10
решение во вложении...............
Приложения:
Вас заинтересует