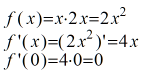
Найдите f'(0),если f(x)=x*2x?
Adele555:
тут нету квадрата где нибудь, просто производна этого уравнения равна 2, а эф штрих от нуля не найдем
Ответы
Ответ дал:
1
Смотрите во вложении....
Приложения:

Вас заинтересует
2 года назад
2 года назад
7 лет назад
7 лет назад
9 лет назад