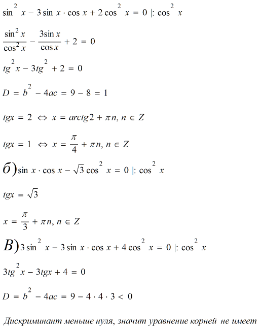
а)sin^2x - 3 sin x cos x + 2 cos ^ 2x = 0
б)sin x * cos x - корень3 cos ^2x = 0
в) 3 sin ^2 x - 3 sin x con x +4 cos ^2 x =0
Ответы
Ответ дал:
2
Решение смотрите во вложении.............
Приложения:
Вас заинтересует
2 года назад
2 года назад
2 года назад
2 года назад
7 лет назад
9 лет назад
9 лет назад