• Предмет: Алгебра
  • Автор: babigerl
  • Вопрос задан 2 года назад

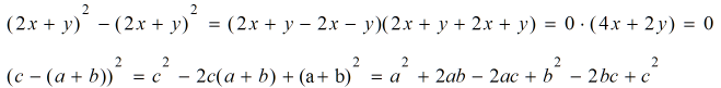
Раскройте скобки:
1) (2x+y)^2-(2x+y)^2
2) (c-(a+b))^2

Ответы

Ответ дал: Аноним
1
Решение во вложении............
Приложения:
Вас заинтересует