• Предмет: Алгебра
  • Автор: nadyaabramova
  • Вопрос задан 3 года назад

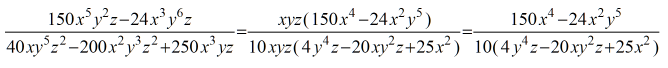
Сократите дробь
А) 150х⁵у²z-24x³y⁶z
₋₋₋₋₋₋₋₋₋₋₋₋₋₋₋₋₋₋₋₋₋₋
40xy⁵z²-200x²y³z²+250x³yz

Ответы

Ответ дал: Аноним
0
Решение смотрите во вложении....
Приложения:
Вас заинтересует