• Предмет: Алгебра
  • Автор: mashakeda
  • Вопрос задан 2 года назад

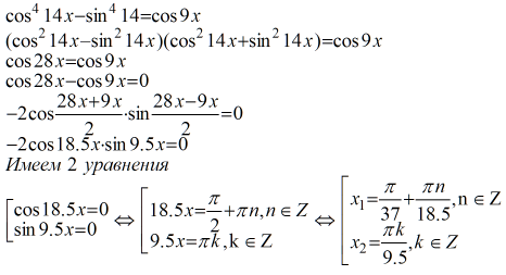
cos^(4)14x-sin^(4)14x=cos9x

Ответы

Ответ дал: Аноним
0
Решение смотрите во вложении..........
Приложения:
Вас заинтересует